Skip to contents

Estimate yield using the Beverton-Holt Yield-per-Recruit (YPR) model using a range of values for conditional fishing (cf) and natural (cm) mortality and a single fixed minimum length limit for harvest (minLL).

Usage

yprBH_minLL_fixed(
  minLL,
  cfmin,
  cfmax,
  cfinc,
  cmmin,
  cmmax,
  cminc,
  loi = NULL,
  lhparms,
  matchRicker = FALSE
)

Arguments

minLL

The minimum length limit for harvest in mm

cfmin

A single numeric for minimum conditional fishing mortality.

cfmax

A single numeric for maximum conditional fishing mortality.

cfinc

A single numeric for increment to cycle from minimum to maximum conditional fishing mortality.

cmmin

A single numeric for minimum conditional natural mortality.

cmmax

A single numeric for maximum conditional natural mortality.

cminc

A single numeric for increment to cycle from minimum to maximum conditional natural mortality.

loi

A numeric vector for lengths of interest. Used to determine number of fish that reach desired lengths.

lhparms

A named vector or list that contains values for each N0, tmax, Linf, K, t0, LWalpha, and LWbeta. See makeLH for definitions of these life history parameters. Also see details.

matchRicker

A logical that indicates whether the yield function should match that in Ricker (). Defaults to TRUE. The only reason to changed to FALSE is to try to match output from FAMS. See the "YPR_FAMSvRICKER" article.

Value

A data.frame with the following calculated values:

  • yield is the estimated yield (in g).

  • nharvest is the number of harvested fish.

  • ndie is the number of fish that die of natural deaths.

  • nt is the number of fish at time tr (time they become harvestable size).

  • tr is the time for a fish to recruit to a minimum length limit (i.e., time to enter fishery).

  • avgwt is the average weight of fish harvested.

  • avglen is the average length of fish harvested.

  • N at xxx is the number that reach the length of interest supplied. There will be one column for each length of interest.

  • exploitation is the exploitation rate.

  • F is the instantaneous rate of fishing mortality.

  • M is the instantaneous rate of natural mortality.

  • Z is the instantaneous rate of total mortality.

  • S is the (total) annual rate of survival.

For convenience the data.frame also contains the model input values (minLL; cf derived from cfmin, cfmax, and cfinc; cm derived from cmmin, cmmax, and cminc; N0; Linf; K; t0; LWalpha; LWbeta; and tmax).

The data.frame also contains a notes value which may contain abbreviations for "issues" that occurred when computing the results and were adjusted for. The possible abbreviates are defined under "values" in the documentation for yprBH_func.

Details

Details will be filled out later

See also

yprBH_func for estimating yield from single values of cf, cm, and minLL, and yprBH_minLL_var for simulating yield with multiple values of cf, cm, and minLL.

See this demonstration page for more plotting examples

Author

Jason C. Doll, jason.doll@fmarion.edu

Examples

# Load other required packages for organizing output and plotting
library(dplyr)    ## for filter
library(ggplot2)  ## for ggplot et al.

# Life history parameters to be used below
LH <- makeLH(N0=100,tmax=15,Linf=592,K=0.20,t0=-0.3,LWalpha=-5.528,LWbeta=3.273)

# Estimate yield for multiple values of minLL, cf, and cm
# # This is a minimal example, lengthinc, cfinc, cminc would likely be smaller
# #   to produce finer-scaled results
Res_1 <- yprBH_minLL_fixed(minLL=200,
                         cfmin=0.1,cfmax=0.9,cfinc=0.1,
                         cmmin=0.1,cmmax=0.9,cminc=0.1,
                         loi=c(200,250,300,350),lhparms=LH)


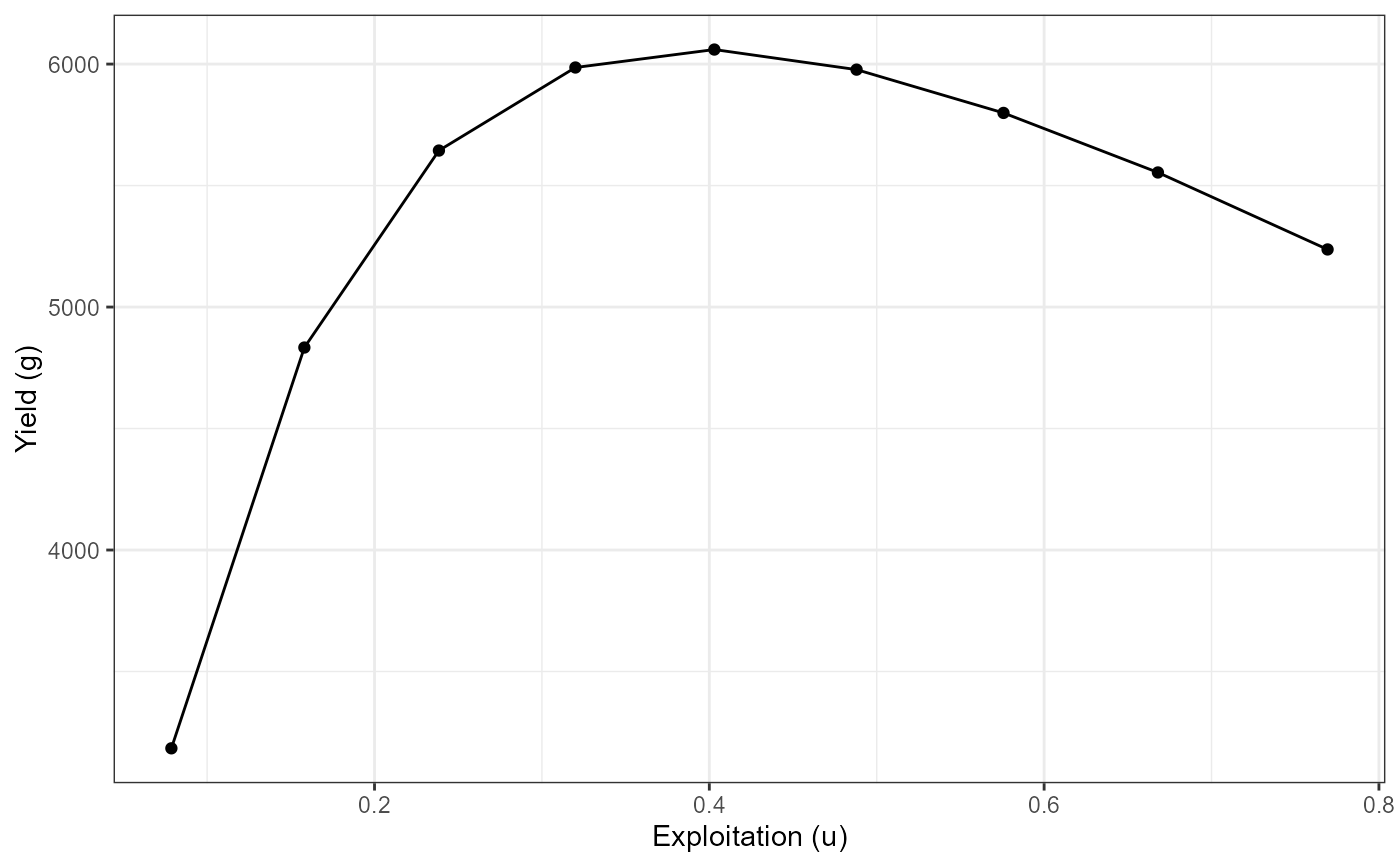
# Yield curve (yield vs exploitation)
# Extract results for cm=0.40
plot_dat <- Res_1 |> dplyr::filter(cm==0.40)

ggplot(data=plot_dat,mapping=aes(x=exploitation,y=yield)) +
  geom_point() +
  geom_line() +
  labs(y="Yield (g)",x="Exploitation (u)") +
  theme_bw()


# Plot number of fish reaching 300 mm as a function of exploitation with cm = 0.40
ggplot(data=plot_dat,mapping=aes(x=exploitation,y=`nAt300`)) +
  geom_point() +
  geom_line() +
  labs(y="Number of fish at 300 mm",x="Exploitation (u)") +
  theme_bw()