Skip to contents

Estimate yield using the Beverton-Holt Yield-per-Recruit (YPR) model using ranges of values for conditional fishing mortality (cf), conditional natural mortality (cm), and minimum length limits for harvest (minLL).

Usage

dpmBH_MinLL(
  minLL,
  cf,
  cm,
  rec,
  lhparms,
  simyears,
  species = NULL,
  group = NULL,
  matchRicker = FALSE
)

Arguments

minLL

A single numeric representing the minimum length limit for harvest in mm.

cf

A matrix of conditional fishing mortality where each row represents a year and each column represents age. Ages are age-0 through maximum age.

cm

A matrix of conditional natural mortality where each row represents a year and each column represents age. Ages are age-0 through maximum age.

rec

A A numeric vector of length simyears to specify recruitment each year. The vector can be geneated using the genRecruits() function.

lhparms

A named vector or list that contains values for each N0, tmax, Linf, K, t0, LWalpha, and LWbeta. See makeLH for definitions of these life history parameters. Also see details.

simyears

A single numeric for the lower limit of minimum length limit for harvest in mm.

species

is a single character to specify the species used in the simulation and will define the length for stock, quality, preferred, memorable, and trophy. Length categories are obtained from the FSA package, see the PSDlit documentation.

group

is a single character to specify the sub-group name of a species used in the simulation and will define the length for stock, quality, preferred, memorable, and trophy. Length categories are obtained from the FSA package, see the PSDlit documentation.

matchRicker

A logical that indicates whether the yield function should match that in Ricker (1975). Defaults to TRUE. The only reason to changed to FALSE is to try to match output from FAMS. See the FAMS vs Ricker article.

Value

A list with two data.frame object. The first list item named sumbyAge contains a data.frame with the following calculated values in a summary by age:

  • year is the year number for the simulation

  • ycis the year class number for the simulation

  • age is the age of fish from the year class

  • length is the length at age at the beginning of the year based on parameters supplied for the von Bertlanffy growth model.

  • weight is the total weight at the beginning of the year for length at age based on the parameters supplied for the weight-length model.

  • N_start is the number of fish alive at the start of the year for the given age and year class.

  • explitation is the exploitation rate at age based on the supplied conditional fishing mortality rate.

  • expect_nat_death is the expectation of natural death based on the supplied conditional natural mortality rate.

  • cf is the supplied conditional fishing mortality rate.

  • cm is the supplied conditional natural mortality rate.

  • F is the instantaneous rate of fishing mortality.

  • M is the instantaneous rate of natural mortality.

  • Z is the instantaneous rate of total mortality.

  • S is the (total) annual rate of survival.

  • biomass is the total biomass of fish at age and year

  • N_harvest is the total number of fish harvested at age and year

  • N_die is the total number of fish that die at age and year

  • yield is the estimated yield (in g).

  • minLL is the minimum length limit specified in the simulation

  • N0 is the number of initial

For convenience the data.frame also contains the model input values (minLL, N0, N0, Linf, K, t0, LWalpha, LWbeta, and tmax).

The data.frame also contains a notes value which may contain abbreviations for "issues" that occurred when computing the results and were adjusted for. The possible abbreviates are as follows:

  • minLL>=Linf: The minimum length limit (minLL) being explored was greater than the given asymptotic mean length (Linf). For the purpose (only) of computing the time at recruitment to the fishery (tr) the Linf was set to minLL+0.1.

  • tr<t0: The age at recruitment to the fishery (tr) was less than the hypothetical time when the mean length is zero (t0). The fish can't recruit to the fishery prior to having length 0 so tr was set to t0. This also assures that the time it takes to recruit to the fishery is greater than 0.

  • Y=Infinite: The calculated yield (Y) was infinity, which is impossible and suggests some other problem. Yield was set to NA.

  • Y<0: The calculated yield (Y) was negative, which is impossible. Yield was set to 0.

  • Nharv<0: The calculated number of fish harvested (Nharv) was negative, which is not possible. Number harvested was set to 0.

  • Ndie<0: The calculated number of fish recruiting to the fishery that died naturally (Ndie) was negative, which is not possible. Number that died was set to 0.

  • agvglen<minLL: The average length of harvested fish was less than the given minimum length limit being explored, which is not possible (with only legal harvest). The average length was set to the minimum length limit.

The second list item named sumbyYear contains a data.frame with the following calculated values in a summary by year:

  • year is the year number for the simulation

  • substock is the number of substock sized fish at age and year at the beginning of the year.

  • stock is the number of stock sized fish at age and year at the beginning of the year.

  • quality is the number of quality sized fish at age and year at the beginning of the year.

  • preferred is the number of preferred sized fish at age and year at the beginning of the year.

  • memorable is the number of memorable sized fish at age and year at the beginning of the year.

  • trophy is the number of trophy sized fish at age and year at the beginning of the year.

  • PSD is the number of quality sized fish divided by the number of stock sized multiplied by 100.

  • PSD_P is the number of preferred sized fish divided by the number of stock sized multiplied by 100.

  • PSD_M is the number of memorable sized fish divided by the number of stock sized multiplied by 100.

  • PSD_T is the number of trophy sized fish divided by the number of stock sized multiplied by 100.

  • Age_1plus is the total number of fish age-1 plus per year.

  • Yield_Age_1plus is the total year of age-1 plus fish per year.

  • Total_biomass is the total biomass of age-1 plus fish per year.

  • N_harvest_Age_1plus is the number of age-1 plus fish that are harvested per year.

  • N_die_Age_1plus is the number of age-1 plus fish that die per year.

PSD-X are calculated based on the number of fish in each category (stock, quality, preferred, memorable, and trophy) at the beginning of the year. That is, the length at age during the start of the year is used to assign PSD-X categories at age. For example, if Quality size is 300mm, an age-1 fish at 275mm at the start of the year would not be counted as a quality sized fish, but an age-2 fish at 325mm at the start of the year would be counted as a quality sized fish.

Details

Details

See also

yprBH_func for estimating yield from single values of cf, cm, and minLL, and yprBH_MinLL for simulating yield with multiple values of cf and cm but a fixed value for minLL.

See this demonstration page for more plotting examples

Author

Jason C. Doll, jason.doll@fmarion.edu

Examples

#load required library
library(dplyr)
#> 
#> Attaching package: 'dplyr'
#> The following objects are masked from 'package:stats':
#> 
#>     filter, lag
#> The following objects are masked from 'package:base':
#> 
#>     intersect, setdiff, setequal, union
library(ggplot2)

# Example of simulating yield with the dynamic pool model,

lhparms <- makeLH(N0=100,tmax=30,Linf=1349.5,K=0.111,t0=0.065,
            LWalpha=-5.2147,LWbeta=3.153)
simyears <- 50
minLL <- 400
rec <- genRecruits(method = "fixed", nR = 100, simyears = simyears)
cm <- matrix(rep(c(rep(0,1), rep(0.18,(lhparms$tmax))), simyears),nrow=simyears,byrow=TRUE)
cf <- matrix(rep(c(rep(0,1), rep(0.33,(lhparms$tmax))), simyears),nrow=simyears,byrow=TRUE)

out<-dpmBH_MinLL(simyears = simyears, minLL = minLL, cf = cf,
                 cm = cm, rec = rec, lhparms = lhparms,
                 matchRicker=FALSE,species="Striped Bass",group="landlocked")

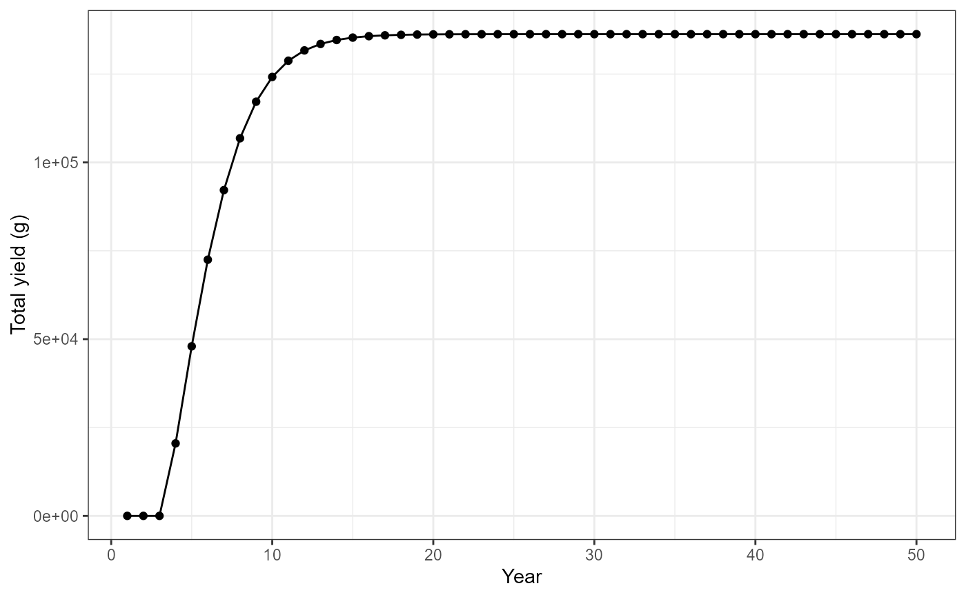
#Use summary by year data frame to plot yield vs year
ggplot(data=out[[2]],mapping=aes(x=year,y=Yield_age_1plus)) +
  geom_point() +
  geom_line() +
  labs(y="Total yield (g)",x="Year") +
  theme_bw()


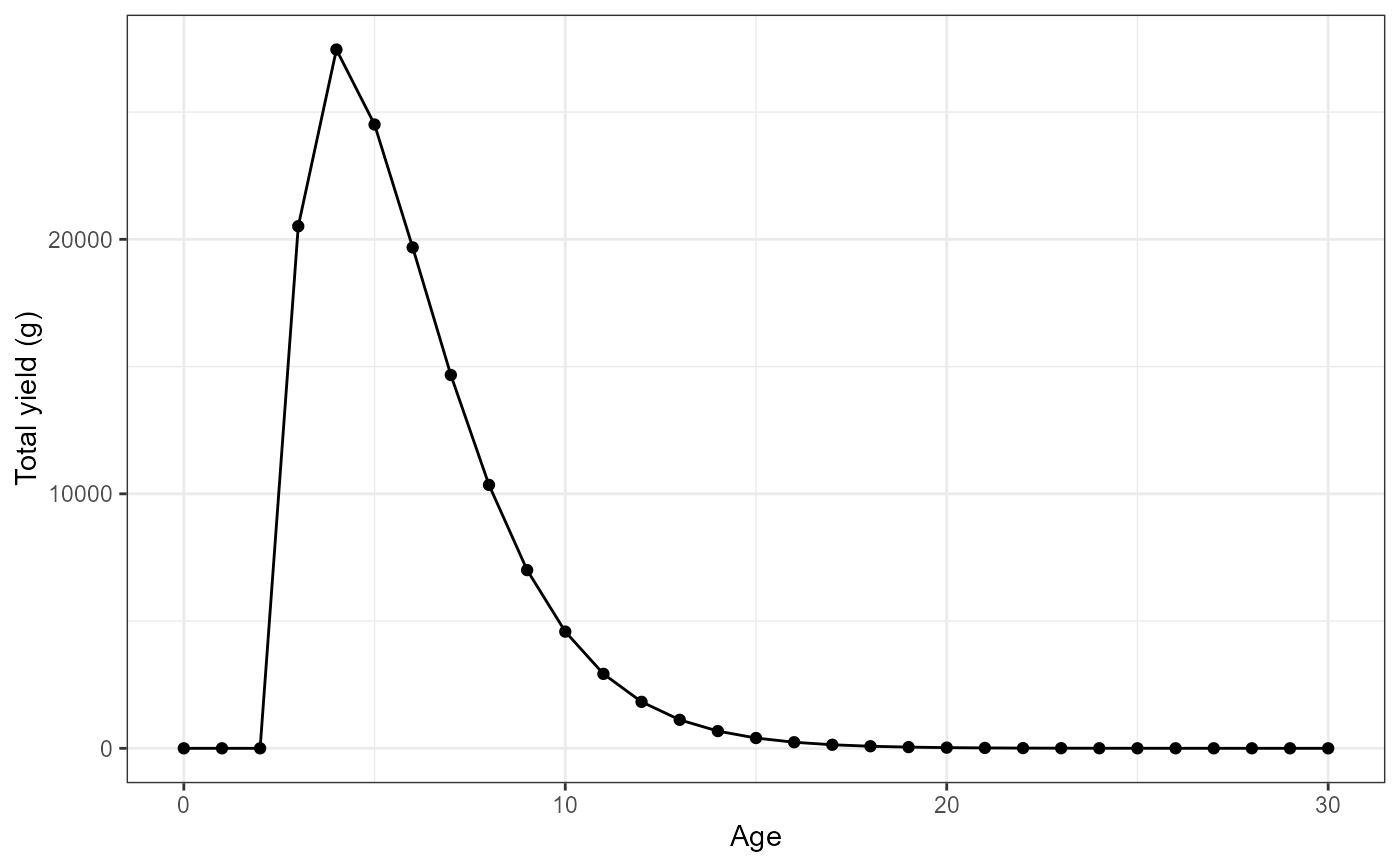
#Plot date using summary by age
#filter for year class = 1
plotdat<- out[[1]] |> filter(yc==1)
#Plot yield vs age
ggplot(data=plotdat,mapping=aes(x=age,y=yield)) +
  geom_point() +
  geom_line() +
  labs(y="Total yield (g)",x="Age") +
  theme_bw()


#Recruitment based on a normal distribution
rec <- genRecruits(method = "normal", simyears = simyears,
                   meanR = 1000, sdR = 500, minR = 100, maxR =2500)
cm <- matrix(rep(c(rep(0,1), rep(0.18,(lhparms$tmax))), simyears),nrow=simyears,byrow=TRUE)
cf <- matrix(rep(c(rep(0,1), rep(0.33,(lhparms$tmax))), simyears),nrow=simyears,byrow=TRUE)

out_2<-dpmBH_MinLL(minLL = minLL, cf = cf, cm = cm,
                   rec = rec, lhparms = lhparms,simyears = simyears,
                   species="Striped Bass",group="landlocked",matchRicker=FALSE)

#Use summary by year data frame to plot yield vs year
ggplot(data=out_2[[2]],mapping=aes(x=year,y=PSD)) +
  geom_point() +
  geom_line() +
  labs(y="PSD",x="Year") +
  theme_bw()


#Plot date using summary by age
#Plot yield vs age for each year class
ggplot(data=out_2[[1]],mapping=aes(x=age,y=yield,group=yc,color=yc)) +
  geom_point() +
  geom_line() +
  labs(y="Total yield (g)",x="Age") +
  theme_bw()